
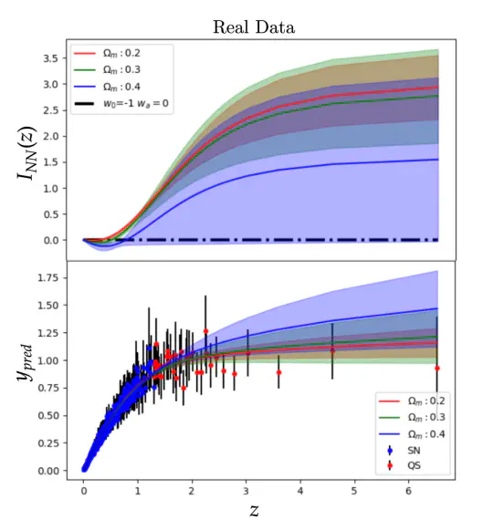
This research proposes a novel nonparametric method for analyzing the Hubble Diagram using neural network regression. The method is tested on various simulated data sets to evaluate its effectiveness in reconstructing cosmological models. The study highlights the tension between the observed data and the conventional flat Lambda-CDM model, particularly at high redshifts. It points towards an “interacting dark sector” scenario, where matter decreases with time while dark energy increases. This approach offers a new perspective on understanding the expansion of the universe and the nature of dark energy.